Dayrain Grafik fehlerhaft

wenn es um andere Software geht
Benutzeravatar
JoachimF
Beiträge: 339
Registriert: 08 Dez 2021 20:29
Wohnort: Carces
Hat sich bedankt: 1 mal
Kontaktdaten:

Dayrain Grafik fehlerhaft

Beitrag von JoachimF »

Letzte Nacht hat es stark geregnet. Es sind ca. 65 L gefallen.
Die Messwerte sind OK, aber die Grafik haut nicht hin.
Addiere ich die Regenbalken, so komme ich auf 25 L.
dayrain-DAV.png
dayrain-DAV.png (14.42 KiB) 5425 mal betrachtet
Wo liegt der Fehler?
Gruß Joachim

https://puttkammer.de
Benutzeravatar
JoachimF
Beiträge: 339
Registriert: 08 Dez 2021 20:29
Wohnort: Carces
Hat sich bedankt: 1 mal
Kontaktdaten:

Re: Dayrain Grafik fehlerhaft

Beitrag von JoachimF »

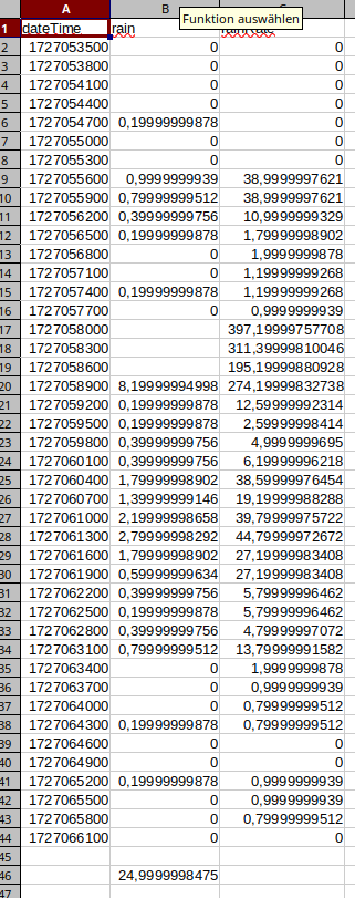
Die Datenspeicherung in die DB ist nicht OK !!!
regen-tabelle.png
regen-tabelle.png (44.39 KiB) 5422 mal betrachtet
Keine rain-Werte obwohl rainrate-Werte vorhanden sind
oder
die rain-Werte sind zu niedrig und passen nicht zu den rainrate-Werten.

csv Export-Datei in Caic Tabelle importiert.
Gruß Joachim

https://puttkammer.de
Benutzeravatar
Werner
Site Admin
Beiträge: 6119
Registriert: 04 Dez 2001 01:00
Wohnort: Lackenhäuser
Danksagung erhalten: 147 mal
Kontaktdaten:

Re: Dayrain Grafik fehlerhaft

Beitrag von Werner »

Geht es hier um den
vantage.py
oder
weatherlinkliveudp.py
Treiber?

Der vantage.py Treiber wird ja von Weewx mitgeliefert.
Benutzeravatar
JoachimF
Beiträge: 339
Registriert: 08 Dez 2021 20:29
Wohnort: Carces
Hat sich bedankt: 1 mal
Kontaktdaten:

Re: Dayrain Grafik fehlerhaft

Beitrag von JoachimF »

Werner hat geschrieben: 23 Sep 2024 11:58 Geht es hier um den
vantage.py
ich denke JA.

Auch weewx mit Ecowitt hat ähnliche SQL-Datenbank fehler.
Die habe ich manuell korrigiert, aber das kann nicht die Lösung sein.
Gruß Joachim

https://puttkammer.de
Benutzeravatar
Werner
Site Admin
Beiträge: 6119
Registriert: 04 Dez 2001 01:00
Wohnort: Lackenhäuser
Danksagung erhalten: 147 mal
Kontaktdaten:

Re: Dayrain Grafik fehlerhaft

Beitrag von Werner »

Die habe ich manuell korrigiert, aber das kann nicht die Lösung sein.
Ich hab da leider keinen Lösungsansatz für Dich.

Ich habe momentan keinen Regen,
aber wenn ich mir die Monatsdaten von der Vantage ansehe,
sind die Werte pausibel - 14.09 über 80 mm.
monthrain.png
monthrain.png (7.33 KiB) 5415 mal betrachtet

Bei der Ecowitt-Station hat bei dem ganzen starken Regen (14.09.) der WH40 nicht richtig
funktioniert, zählte viel zu wenig (nur 1,5 mm).
Der Kipplöffel (keine Wippe) scheint damit überfordert gewesen zu sein.
Die Regenmenge vom WS90 war dagegen fast in Ordnung - auch etwas zu wenig.
Dateianhänge
Ecowitt_regen.png
Ecowitt_regen.png (15.9 KiB) 5415 mal betrachtet
Benutzeravatar
JoachimF
Beiträge: 339
Registriert: 08 Dez 2021 20:29
Wohnort: Carces
Hat sich bedankt: 1 mal
Kontaktdaten:

Re: Dayrain Grafik fehlerhaft

Beitrag von JoachimF »

Ich hab da leider keinen Lösungsansatz für Dich.
Schade.
Vielleicht frage ich in der weewx user group.
Gruß Joachim

https://puttkammer.de
Benutzeravatar
JoachimF
Beiträge: 339
Registriert: 08 Dez 2021 20:29
Wohnort: Carces
Hat sich bedankt: 1 mal
Kontaktdaten:

Re: Dayrain Grafik fehlerhaft

Beitrag von JoachimF »

Anmerkung:
WsWin hat keine Probleme gemacht, es wurden die richtigen Regenwerte angezeigt.
20240923.png
20240923.png (15.69 KiB) 5361 mal betrachtet
Gruß Joachim

https://puttkammer.de
Antworten