Seite 1 von 1
Dayrain Grafik fehlerhaft
Verfasst: 23 Sep 2024 09:30
von JoachimF
Letzte Nacht hat es stark geregnet. Es sind ca. 65 L gefallen.
Die Messwerte sind OK, aber die Grafik haut nicht hin.
Addiere ich die Regenbalken, so komme ich auf 25 L.

- dayrain-DAV.png (14.42 KiB) 5431 mal betrachtet
Wo liegt der Fehler?
Re: Dayrain Grafik fehlerhaft
Verfasst: 23 Sep 2024 10:16
von JoachimF
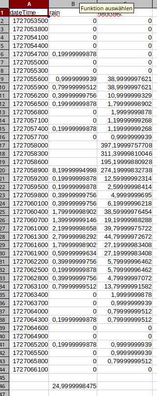
Die Datenspeicherung in die DB ist nicht OK !!!

- regen-tabelle.png (44.39 KiB) 5428 mal betrachtet
Keine rain-Werte obwohl rainrate-Werte vorhanden sind
oder
die rain-Werte sind zu niedrig und passen nicht zu den rainrate-Werten.
csv Export-Datei in Caic Tabelle importiert.
Re: Dayrain Grafik fehlerhaft
Verfasst: 23 Sep 2024 11:58
von Werner
Geht es hier um den
vantage.py
oder
weatherlinkliveudp.py
Treiber?
Der vantage.py Treiber wird ja von Weewx mitgeliefert.
Re: Dayrain Grafik fehlerhaft
Verfasst: 23 Sep 2024 13:12
von JoachimF
Werner hat geschrieben: ↑23 Sep 2024 11:58
Geht es hier um den
vantage.py
ich denke JA.
Auch weewx mit Ecowitt hat ähnliche SQL-Datenbank fehler.
Die habe ich manuell korrigiert, aber das kann nicht die Lösung sein.
Re: Dayrain Grafik fehlerhaft
Verfasst: 23 Sep 2024 17:47
von Werner
Die habe ich manuell korrigiert, aber das kann nicht die Lösung sein.
Ich hab da leider keinen Lösungsansatz für Dich.
Ich habe momentan keinen Regen,
aber wenn ich mir die Monatsdaten von der Vantage ansehe,
sind die Werte pausibel - 14.09 über 80 mm.

- monthrain.png (7.33 KiB) 5421 mal betrachtet
Bei der Ecowitt-Station hat bei dem ganzen starken Regen (14.09.) der WH40 nicht richtig
funktioniert, zählte viel zu wenig (nur 1,5 mm).
Der Kipplöffel (keine Wippe) scheint damit überfordert gewesen zu sein.
Die Regenmenge vom WS90 war dagegen fast in Ordnung - auch etwas zu wenig.
Re: Dayrain Grafik fehlerhaft
Verfasst: 23 Sep 2024 20:27
von JoachimF
Ich hab da leider keinen Lösungsansatz für Dich.
Schade.
Vielleicht frage ich in der weewx user group.
Re: Dayrain Grafik fehlerhaft
Verfasst: 25 Sep 2024 08:20
von JoachimF
Anmerkung:
WsWin hat keine Probleme gemacht, es wurden die richtigen Regenwerte angezeigt.

- 20240923.png (15.69 KiB) 5367 mal betrachtet